Pandemic Response CoLab is in read-only mode.
Learn more at https://www.pandemicresponsecolab.org/page/readonly.
Skip navigation
Share via:

Summary

These are my comments on resource allocation (in general) and sample selection. In my opinion, the best way is to involve everyone


Description

Description

    Multiple studies have shown that Coronavirus neutralizing antibody levels in the blood of COVID-19 rehabilitation patients significantly decrease within 2 to 3 months after infection. This has raised concerns about the protection provided by COVID-19 vaccines. As shown in the figure below

 

    On the pessimistic side, Coronavirus infection does not necessarily confer lifetime immunity. This could lead to the need for everyone on the planet to be vaccinated every once in a while, even if the vaccine is relatively likely to provide longer term protection. In addition, viruses naturally evolve mechanisms to suppress or interfere with the immune system's response, thus infecting human cells, and we may have a long battle with the virus. As WHO has said, Coronavirus may never disappear. Humans may have to live with  Coronavirus.

 

    If things develop as mentioned above --Coronavirus will coexist with human for a long time, how can we collaborate with the Coronavirus as expected without significantly affecting the economic and social development or shaking the political interests? While the safety of an individual's life is extremely important to the individual, national leaders' overall priority for reducing the number of infections is not necessarily higher than the combination of other factors. So how do we combine all the factors and keep the balance? I believe this is a classic trolley problem. The difference is that each step of this action is related to the trajectory of human development, and each step of decision making cannot predict the gains and losses of the next step with certainty. Your choice must take others' choice into consideration, and others' choice must also take yours into consideration; Your outcome depends not only on your choice of action, but also on the strategic choices of others. Moreover, if each country chooses to act in its own best interests, those choices could cause a global disaster.


2comments
Share conversation: Share via:

Qsedgiuas Asdhia

Aug 28, 2020
09:15

Member


1 |
Share via:
Contribution
contributor

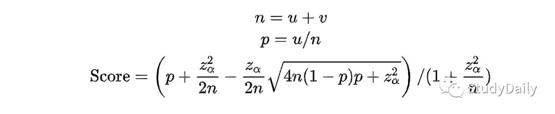
       In other words, under such complex conditions, how can we optimize our resource allocation (labor resources, natural resources, knowledge resources)? The first thing that comes to mind is the Wilson score.

    Where  is the weighted approving number,  is the weighted objecting number,  is the weighted total number of votes,  is the weighted approving proportion, and  is the   score corresponding to the selected significance level  . The fractions here are in the range. In this case, we can first roughly divide the fields that need to be counted into resource allocation into several large subjects (e.g., economic growth, medical devices, life safety). Individuals are randomly selected as representatives in a group (regardless of identity, status, or education background). Everyone has three choices on each topic -- deal with it first, deal with it later, and abstain. They are ranked according to the proportion of resources they agree to allocate preferentially, and then the priority resource allocation order is obtained from the top down.

     One disadvantage of Wilson's score is that different responses have different vote-scoring abilities. But I think that's the strength of this algorithm -- everyone is equal. Whether you are President or not, whether you are rich or not, whether you are educated or not, whatever you believe, your vote is as important as mine. We are all one vote. The final result takes into account the views of all and represented the views of the majority.

     Now it's time to take a sample, and I offer an idea. From individuals to families, families to communities, communities to small towns(Choose a representative from each layer)... And so on, all the way to the country, and then the country as a representative to submit to an audit group-- as the picture below.

 

      Through the above method, we can get the priority of resource allocation, and then work together and cooperate with the world as the main body in this order. Whatever the outcome, I believe it's a combination of what most people think. 

 

 

 

Summary:

   These are my comments on resource allocation (in general) and sample selection. In my opinion, the best way is to involve everyone, and the conclusion should be that the minority is subordinate to the majority opinion. Even if there are people who don't understand viruses, I think they are part of us, so we need to consider their views and treat everyone equally.


Qsedgiuas Asdhia

Aug 30, 2020
06:41

Member


2 |
Share via:
Contribution
contributor

For some reason, the picture does not display properly. If you want to view the pictures, here's the link.

https://mp.weixin.qq.com/s?__biz=Mzg5NzQxMzYyNw==&mid=2247483735&idx=1&sn=90a7ff4f8f0b1c6bd1a49e5a71f2a24d&chksm=c07379c3f704f0d52956e57b906404d8ec076a9c7c3a78381eecb5261cbb77dad208a466162a&token=1368898221&lang=zh_CN#rd 

And I want to try to summarize this article again in more precise sentences.

I propose to use Wilson Score to rationally allocate resources by combining the views and concepts of people from different backgrounds on the epidemic.
I use stratified random samples to provide a model that shows how to quickly collect effective samples of different human cognitive statistics about the epidemic
 

Thank you

 

ADD YOUR COMMENT
You must be logged into your account to post a comment.
Click on the box